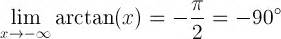
what does arctan of infinity equal
what does arctan of infinity equal. There are some references to what does arctan of infinity equal in this article. If you are looking for what does arctan of infinity equal you've came to the right place. We have posts about what does arctan of infinity equal. You can check it out below.
Showing posts matching the search for what does arctan of infinity equalTotal Pageviews
Search Here
Powered by Blogger.
Recent Posts
-
▼
2023
(404)
-
▼
February
(127)
- Matematik Tingkatan 4 Modul
- Soalan Matematik Paling Susah
- Soalan Esei Sejarah Tingkatan 5 Bab 1 Kssm
- Soalan Rbt Tingkatan 1 Bab 2
- Jawapan Buku Teks Add Math Tingkatan 5
- Modul Inspirasi Pdpc Matematik Tingkatan 1 Jawapan
- Soalan Matematik Akhir Tahun Tingkatan 2
- Modul Matematik Tingkatan 4 Bab 1
- Soalan Buku Teks Matematik Tingkatan 3
- Jawapan Gerak Gempur Addmath Tingkatan 4
- Contoh Soalan Rbt Tingkatan 3 2019
- Contoh Jawapan Kbat Pai Spm
- Nota Lengkap Matematik Tingkatan 4 Kssm
- Buat Soalan Guna Google Form
- Contoh Soalan Bahasa Melayu Tahun 3
- Latihan Matematik Tingkatan 2 Bab 6
- Contoh Soalan Spm Dear Mr Kilmer
- Jawapan English Form 3
- Contoh Soalan Usuluddin Pt3
- Jawapan Teka Teki Paling Susah
- Contoh Soalan Dan Jawapan Temuduga Pembantu Tadbir
- Nota Matematik Kssm Tingkatan 3
- Skema Jawapan Juj Pahang 2017 Fizik
- Contoh Soalan Temuduga Upsi
- Modul Aktiviti Mesra Digital Matematik Tingkatan 4...
- Soalan Lazim Temuduga Yayasan Selangor
- Matematik Tingkatan 2 Bab 1
- Soalan Percubaan Spm 2021 Matematik Johor Set 3
- Soalan Esei Geografi Stpm Penggal 1
- Soalan Lazim Spa Brunei
- Rpt Matematik Tambahan Tingkatan 5 Kssm
- Soalan Objektif Sejarah Spm 2021
- Contoh Soalan Objektif Rbt Tingkatan 3
- Nota Set Matematik Tingkatan 4
- Hsp Matematik Tambahan Tingkatan 5
- Soalan Matematik Jam Dan Waktu Tahun 6
- Contoh Soalan Peperiksaan Pembantu Tadbir Kewangan...
- Soalan Trial Spm 2021 Matematik
- Jawapan Oxford Fajar Matematik Tingkatan 4
- Latihan Matematik Tingkatan 1 Ungkapan Algebra
- Soalan Dan Jawapan Geografi Tingkatan 1
- Contoh Menjawab Soalan Esei Sejarah
- Contoh Jawapan Karangan Rumusan
- Matematika Kelas 10 Pdf
- Jawapan Buku Teks Sains Tingkatan 5 Kssm Pdf Download
- Soalan Darab Pecahan Tahun 6
- Soalan Add Math Paling Susah
- Soalan Matematik Tahun 4 Mengikut Topik
- Soalan Peperiksaan Kimia Tingkatan 4 Akhir Tahun
- Soalan Agama Untuk Lelaki
- Soalan Yang Sesuai Untuk Perempuan
- Soalan Tentang Qada Dan Qadar
- Jawapan Amali Sains Tingkatan 5
- Soalan Matematik Darjah 6 Mengikut Topik
- Soalan Upsr Matematik Dlp
- Modul Matematika Peminatan Kelas 10 Pdf
- Buku Teks Matematik Tingkatan 4 Kssm Bab 10
- Rpt Matematik Tingkatan 4 Kbsm
- Jawapan Matematik Tambahan Tingkatan 5
- Jawapan Buku Teks Rbt Tingkatan 3
- Contoh Soalan Kuiz Bola Tampar
- Soalan Ujian Memandu Online
- Jawapan Modul Sejarah Tingkatan 2
- Soalan Akhir Tahun Sains Tingkatan 3
- Kertas Soalan Peperiksaan Akhir Tahun Bahasa Melay...
- Vektor Matematika Peminatan Kelas 10 Ppt
- Matematik Tingkatan 1 Quiz Online
- Jawapan Modul Aktiviti Formula A+ Ekonomi Tingkatan 4
- Jawapan Praktis Strategi Matematik Tingkatan 3
- Jawapan Buku Conquer Sains Tingkatan 3 Bab 7
- Jawapan Dual Channel Matematik Tingkatan 1
- Soalan Lazim Temuduga Guru Kafa
- Soalan Ramalan Spm 2021 Bahasa Melayu
- Soalan Pendidikan Islam Sekolah Rendah
- Soalan Latihan Matematik Tingkatan 3 Indeks
- Jawapan Modul Matematik Tingkatan 4 Nilam Publication
- Soalan Daya Menyelesaikan Masalah Pegawai Imigresen
- Contoh Soalan Bahasa Malaysia Tahun 1
- Contoh Soalan Peperiksaan Lembaga Jururawat Malaysia
- Soalan Matematik Tahun 4 Bundarkan
- Myvisa Bahasa Melayu Tingkatan 4 Jawapan
- Soalan Sains Tingkatan 3 Akhir Tahun
- Contoh Soalan Ujian Komputer Lesen Memandu Bahagian B
- Soalan Ramalan Matematik Spm 2021
- Contoh Kertas Soalan Sejarah Tingkatan 4
- Tbe Soalan Contoh Set 3
- Contoh Soalan Pengetahuan Am Malaysia
- Soalan Matematik Tingkatan 1 Bahagian B
- Jawapan Modul Matematik Tambahan Tingkatan 5 Nilam...
- Jawapan Teka Silang Kata Sambutan Bulan Kemerdekaan
- Soalan Untuk Pengantin Perempuan
- Contoh Soalan Peperiksaan Jpa Gred 29 Bahagian B
- Jawapan Buku Teks Matematik Tingkatan 3 Anyflip
- Soalan Bahasa Melayu Tahun 3 Pemahaman
- Jawapan Matematik Tingkatan 2 Bab 1
- Soalan Objektif Sains Tingkatan 1 Pdf
- Soalan Objektif Bahasa Melayu Tingkatan 2
- Soalan Trial Spm 2021 Ekonomi
- Soalan Percubaan Spm 2021 Fizik Pahang
- Jawapan Modul Pbd Geografi Tingkatan 2
-
▼
February
(127)
Popular Posts
-
Modul matematik tambahan tingkatan 4 modul pintas matematik tambahan tingkatan 4 matematik tingkatan 4 bab 4 matematik tingkatan 4 anyflip m...
-
Soalan darab pecahan tahun 6 soalan pecahan tahun 3 soalan pecahan tahun 5 soalan matematik tahun 6 pecahan soalan pecahan tahun 4 soalan pe...
-
Game of thrones season 8 episode 3 torrent download, watch game of thrones season 8 episode 3, who dies in game of thrones season 8 episode ...
-
Matematik tingkatan 4 kssm bab 1 buku matematik tingkatan 4 kssm bab 4 matematik tingkatan 5 kssm nota matematik tingkatan 2 pdf nota matema...
-
Game of thrones castle map, game of thrones castles, game of thrones castle black, game of thrones castles map, game of thrones castle rock,...
-
Gerak gempur matematik tingkatan 2 jawapan buku gerak gempur matematik tingkatan 2 jawapan bio gerak gempur matematik tingkatan 2 worksheet ...
-
Game of thrones actors, game of thrones actor dies, game of thrones actor john stahl, game of thrones actors cast, game of thrones actors li...
-
Contoh soalan speaking spm 2021, contoh soalan speaking spm 2021, contoh soalan speaking test spm 2021, contoh soalan speaking test spm 2021...
-
Formula A+ Matematik Tingkatan 4 . Modul aktiviti formula a+ : Quadratic functions and equations in one variable ...
-
Jawapan english download form 5 jawapan buku english download form 5 form 3 japan tax form jawapan buku english download form 5 jawapan buku...
